Klamka bezpieczna LOB Centaur
Klamka dla osób, które oprócz estetyki mają na uwadze również wysokie poczucie bezpieczeństwa. Posiada 3 klasę zabezpieczenia.
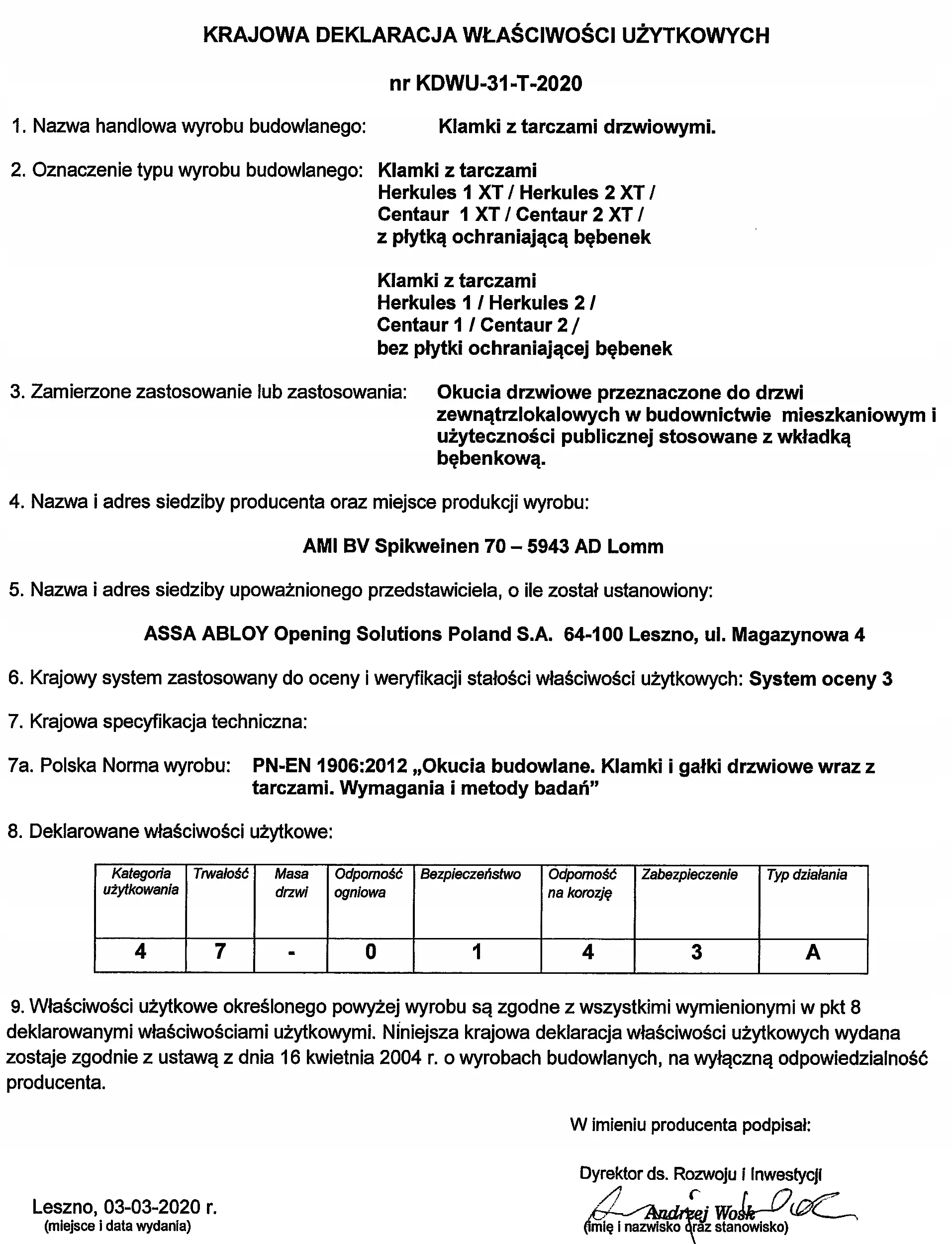
Cechy produktu:
- 3 klasa zabezpieczenia zgodna z normą EN1906
- tarcza prosta
- dwa punkty mocowania
- przeznaczona do drzwi o grubości 62 – 70 mm
- szablon i instrukcja montażu w zestawie
- dostępne rozstawy: 72 mm, 90 mm
- dostępne powłoki: srebrna (F1)
- wspomaganie
Warianty:
- tarcza z osłoną na wkładkę bębenkową
- tarcza bez osłony na wkładkę bębenkową
- klamka/klamka
- klamka/uchwyt











